Anthropic-Pentagon AI feud escalates
PLUS: Turn a YouTube thumbnail into 5 different social posts
Read Online | Sign Up | Advertise
Good morning, AI enthusiasts. The Pentagon may soon label Anthropic a “supply chain risk” in response to the company’s limits on how the military uses its AI.
The feud, which only appears to be escalating, highlights a deeper tension now shaping the AI era: who controls how frontier models are deployed in military operations — the labs that build them, or the governments that use them?
In today’s AI rundown:
Anthropic-Pentagon feud escalates over AI use
OpenAI adds new ‘Lockdown mode’ in ChatGPT
Turn a YouTube thumbnail into 5 social posts
Alibaba nears frontier with open-weight Qwen-3.5
4 new AI tools, community workflows, and more
LATEST DEVELOPMENTS
ANTHROPIC
‼️ Anthropic-Pentagon feud escalates over AI use

Image source: Nano Banana / The Rundown
The Rundown: The Pentagon is reportedly “close” to cutting ties with Anthropic and designating the company a “supply chain risk” — a badge usually reserved for foreign adversaries — over its restrictions on how Claude is used by the military.
The details:
The designation of “supply chain risk,” if given, would force all U.S. defense contractors to cut ties with Anthropic — hitting the AI’s major business severely.
Defense officials are demanding the right to use AI for “all lawful purposes,” while Anthropic is holding firm against granting broad permissions.
The company is open to loosening restrictions but wants to ensure its AI is not used for spying on Americans or building autonomous weapons, Axios reports.
Claude is currently the only AI on the Pentagon’s classified systems, and was also reportedly used via Palantir to capture Nicolás Maduro in January.
Why it matters: Experts have long warned about the unchecked use of AI in warfare, and this standoff marks a notable moment showing the growing friction between companies’ responsible-use guardrails and the military’s operational demands. Only time will tell which side shapes the rules of AI in national security.
TOGETHER WITH YOU.COM
🧠 You.com founders predict an AI winter is coming
The Rundown: You.com’s Co-founders Richard Socher and Bryan McCann are among the most-cited AI researchers in the world. They just released 35 predictions for 2026.
Three that stand out:
The LLM revolution has been “mined out” as capital floods back to research
“Reward engineering” becomes a job; prompts can’t handle what’s coming next
Traditional coding will be gone by December — AI writes code and humans manage it
OPENAI
🔒️ OpenAI adds ‘Lockdown Mode’ to ChatGPT

Image source: Reve / The Rundown
The Rundown: OpenAI just introduced a “Lockdown Mode” in ChatGPT, alongside new Elevated Risk labels, as part of an effort to protect “highly security-conscious users” from threats like prompt injection (where AI is tricked into leaking data).
The details:
The Lockdown Mode is an optional setting that deterministically disables certain ChatGPT tools and capabilities that an attacker could exploit.
Specific protections in the mode include limiting web browsing to cached content — ensuring no live network requests leave OpenAI’s environment.
ChatGPT workspace admins can enable the mode, with the ability to whitelist specific apps/actions that remain accessible even when the lockdown is active.
The company is also adding new “Elevated Risk” labels that appear across ChatGPT, Atlas, and Codex to flag features that may introduce any level of risk.
Why it matters: As AI models go from simple chatbots to full-fledged agents capable of browsing the web, connecting to apps, and executing complex tasks, the security stakes are higher than ever. This update acknowledges that change and the fact that deterministic “hard blocks” may be the only way to address some AI risks.
AI TRAINING
📲 Turn a YouTube thumbnail into 5 social posts

The Rundown: In this guide, you will build a YouTube thumbnail from scratch in Canva, then use the AI resize feature to instantly duplicate it into every social media format, with AI handling the layout for each size.
Step-by-step:
In Canva (you will need a Pro account), click the “Create” button and search for “thumbnail.” Click the YouTube thumbnail project type
In the sidebar, pick a template that you like. Update the text to match your video title and change the colors if you want
If there’s a cutout person in it, you can take a selfie, drag it into Canva, then click the AI remove background button. Now, replace the placeholder cutout
Finally, click the “Resize” in the top left and select all social placements you want. Canva AI will create thumbnail layouts in the correct dimensions for each
Pro tip: You can also generate thumbnails using Nano Banana Pro, then recreate them in Canva.
PRESENTED BY SPEECHMATICS
🗣️ Voice Agents need speed you trust
The Rundown: Speechmatics’ Voice Agent API delivers partials in <250ms and finals around 250-300ms. Built real-time first, not batch models forced into streaming. That’s why you get unmatched accuracy at conversational latency.
What you get:
55+ languages, accent-agnostic performance
Native LiveKit, Pipecat, Vapi support
Deploy cloud, on-prem, hybrid, on-device
Start building with $200 free credits.
ALIBABA
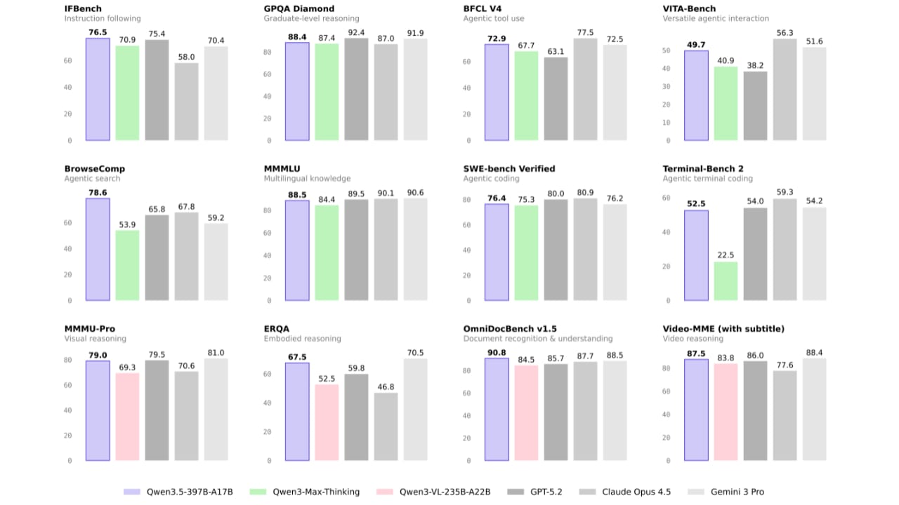
🧠 Alibaba nears frontier with open-weight Qwen-3.5

Image source: Qwen
The Rundown: Alibaba’s Qwen released Qwen3.5-397B-A17B, an open-weight vision language model featuring a “hybrid architecture” that delivers massive inference gains while rivaling proprietary giants like OpenAI’s GPT-5.2 and Google’s Gemini 3 Pro.
The details:
Qwen-3.5 uses a sparse MoE design, activating only 17B parameters out of 397B for each query, balancing high-level capabilities with low latency.
The model is close to frontier players across the board, and even surpasses them in domains like agentic search, doc recognition, and instruction following.
Alibaba claims it is 60% cheaper to use and at least 8x better at processing large workloads than its immediate predecessor, Qwen3-Max.
The release is aimed at handling continuous, multimodal reasoning required by agents, although it doesn’t seem very good at running a vending machine yet.
Why it matters: Chinese labs are on a roll, and with Qwen3.5 combining near frontier performance, 60% lower costs, and open weights, the race is clearly shifting toward efficiency and scalability. If the momentum continues, the AI balance may hinge less on raw size and more on who can deliver powerful models at the lowest rate.
QUICK HITS
🛠️ Trending AI Tools
👨💻 HeyGen - Turn ideas into videos in minutes, with no filming required. Use Code TRDAI20 for 20% off your first 3 months.
🧠 Qwen3.5-397B-A17B - Alibaba’s open-weight vision language model
🤖 Manus - AI agents, now accessible via Telegram with long-term memory
✨ Seed 2.0 - ByteDance’s open-source models for general-purpose agents
*Sponsored Listing
📰 Everything else in AI today
Meta patented a social networking system that uses AI trained on a user’s interaction data to simulate their responses when they’re on a long break, or even deceased.
India kicked off its AI Impact Summit, hosting execs from global AI giants, including OpenAI’s Sam Altman, Google’s Sundar Pichai, and Anthropic’s Dario Amodei.
Sam Altman and Dario Amodei confirmed India is now the second-largest market for ChatGPT and Claude, with Amodei also announcing Anthropic’s Bengaluru office.
Ireland’s Data Protection Commission is probing xAI’s Grok over concerns it can generate sexualized images of women and children, after similar UK and EU action.
SpaceX (and xAI) will reportedly compete in the Pentagon’s $100M contest to produce voice-controlled, autonomous drone swarming technology.
ElevenLabs launched its “ElevenLabs for Government” initiative to help public sector agencies deploy secure, multilingual voice and chat AI.
COMMUNITY
🤝 Community AI workflows
Every newsletter, we showcase how a reader is using AI to work smarter, save time, or make life easier.
Today’s workflow comes from reader Lisa G. in Australia:
“I volunteer for a wildlife shelter, which runs solely on donations...We needed an app to manage our rescue team operations, so I built one with Base44’s web app creator. It manages rescue calls and tracks progress of the rescue status, volunteer task assignments, and maps to wildlife track locations.
It saves our team time as we previously used WhatsApp to record Rescues, which was really inefficient. I am now building more apps for the shelter.”
How do you use AI? Tell us here.
🎓 Highlights: News, Guides & Events
Read our last AI newsletter: AI’s new physics discovery
Read our last Tech newsletter: Musk’s ‘self-growing’ Moon city
Read our last Robotics newsletter: Apptronik’s $935M humanoid moment
Today’s AI tool guide: Turn a YouTube thumbnail into 5 social posts
RSVP to next workshop on Feb. 18: Agentic Workflows Bootcamp pt.2
See you soon,
Rowan, Joey, Zach, Shubham, and Jennifer — the humans behind The Rundown

Stay Ahead on AI.
Join 2,000,000+ readers getting bite-size AI news updates straight to their inbox every morning with The Rundown AI newsletter. It's 100% free.







